当前位置:肿瘤瞭望>资讯>研究>正文

腺启新疗丨非转移性前列腺癌患者术后放疗±内分泌治疗的疗效分析

作者:肿瘤瞭望   日期:2025/11/5 10:56:09  浏览量:2715

肿瘤瞭望版权所有,谢绝任何形式转载,侵犯版权者必予法律追究。

为了更好地理解内分泌联合术后放疗对非转移性前列腺癌的作用,DADSPORT合作组对随机对照试验(RCT)的汇总数据进行系统综述和荟萃分析。研究发现,术后放疗后进行短期或长期内分泌治疗可改善MFS和PCSS;观察到的OS改善较小,且可能仅限于高危人群。因而,术后在放疗基础上联合内分泌治疗应基于患者类型、偏好以及其他因素,进行个体化选择。

编者按:为了更好地理解内分泌联合术后放疗对非转移性前列腺癌的作用,DADSPORT合作组对随机对照试验(RCT)的汇总数据进行系统综述和荟萃分析。研究发现,术后放疗后进行短期或长期内分泌治疗可改善MFS和PCSS;观察到的OS改善较小,且可能仅限于高危人群。因而,术后在放疗基础上联合内分泌治疗应基于患者类型、偏好以及其他因素,进行个体化选择。
 
 
研究背景
 
目前已有多项RCT研究分析了内分泌联合放疗对非转移性前列腺癌患者的疗效,但结果不一:其中NRG/RTOG 9601研究表明,在根治性前列腺切除术(RP)后,在挽救性放疗的基础上加用24个月的内分泌治疗可改善总生存(OS)。OS获益主要见于接受“晚期”挽救性放疗的患者以及放疗前的前列腺特异抗原(PSA)水平高于1.5 ng/ml的患者。因此,尚不清楚在放疗前PSA水平较低的“早期”挽救性放疗的基础上加用内分泌治疗能否改善OS。两项试验GETUG-AFU-16和NRG/RTOG 0534表明,加用短期内分泌治疗可改善生化结局指标,但OS无改善。
 
这项研究采用前瞻性、自适应荟萃分析框架(FAME),收集并整合所有符合条件的试验的详细结果,以能够更好地评估对于非转移性前列腺癌患者,在前列腺切除术后放疗中添加内分泌治疗对比单纯术后放疗相比的总体疗效;此外,研究还评估了治疗效果是否因试验设计(尤其是内分泌治疗持续时间)或纳入患者的特征不同而存在差异。
 
研究结果

临床研究数据特征
 
研究共纳入五项已完成的RCT(RADICALS-HD、RTOG 9601、RTOG 0534、GETUG-AFU-16和GETUG-AFU-22)的结果。所有试验的中位随访时间为6.2~13年。研究中的患者分别接受短期内分泌治疗和无内分泌治疗(四项试验对照,3489名患者)或长期内分泌治疗和无内分泌治疗(两项试验对照,1088名患者)。RADICALS-HD研究比较了短期内分泌治疗和长期内分泌治疗(1523名患者),允许进行挽救性放疗或辅助性放疗。其余所有试验均采用了前列腺床挽救性放疗;两项试验还采用了淋巴结放疗。同步内分泌治疗的使用情况因试验而异。
 
 
中位年龄为64~67岁,术前PSA中位值为8.1~9.8 ng/ml。大多数(94%)患者的体能状态为ECOG 0。大多数患者肿瘤为pT II期或IIIa期(81%),Gleason评分为7分(68%),且无精囊侵犯(82%)。60%的患者手术切缘阳性。采用长期内分泌治疗的试验中,切缘阳性且IIIb期肿瘤的患者比例略高。仅RADICALS-HD试验纳入了淋巴结侵犯患者(2%),而GETUG-AFU-16试验的所有患者均有囊外侵犯。
 
 
对于OS和MFS,四项试验偏倚风险较低。对于MFS,GETUG-AFU-22试验的随机化过程(没有关于如何进行随机化或隐藏的信息)、结果测量(没有MFS的定义)以及报告结果的选择(没有关于预设分析的信息)存在部分偏倚。
 
内分泌治疗及其持续时间的影响

总生存
 
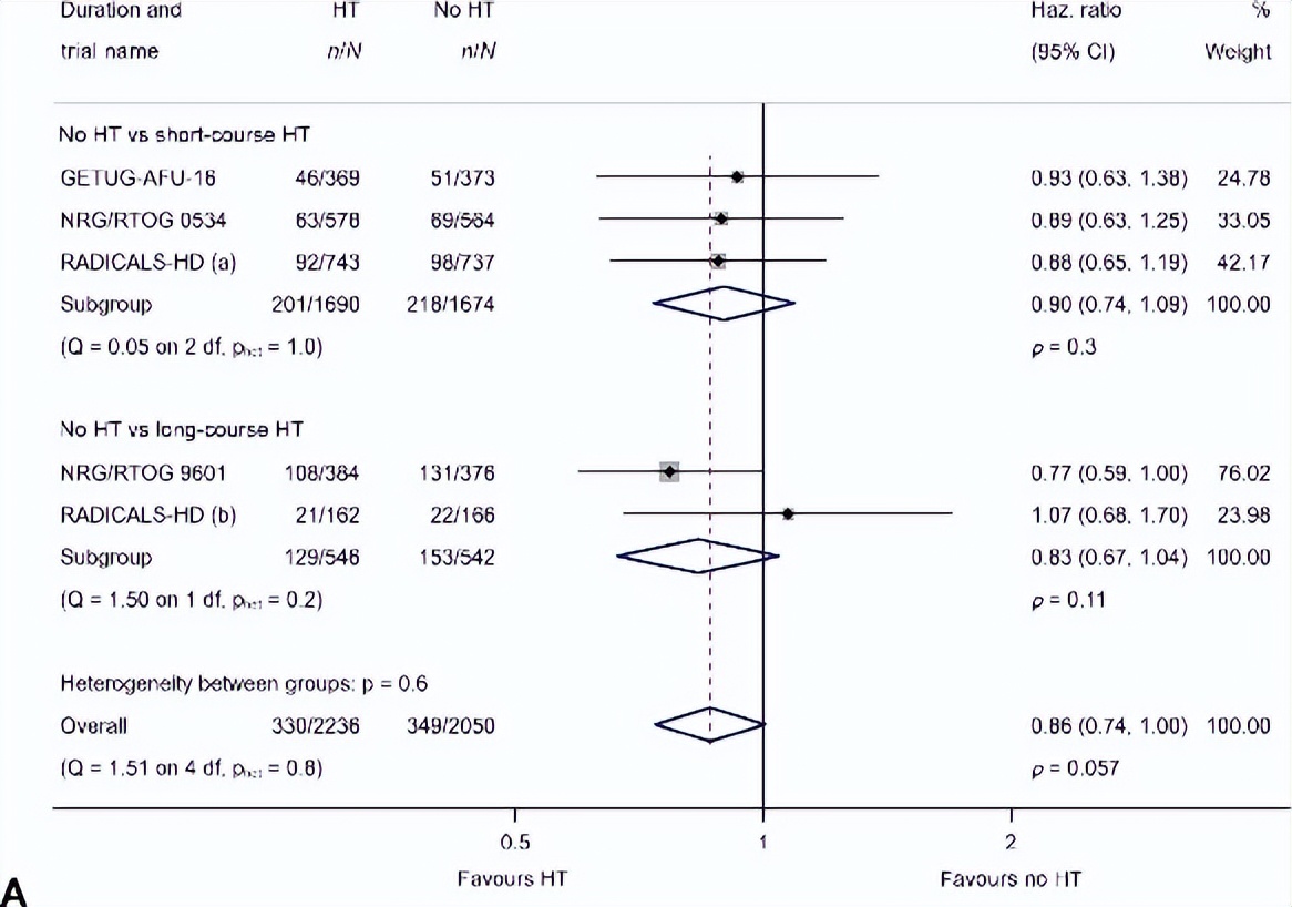
基于4286名患者和679例死亡病例,OS的HR为0.86(95%CI=0.74-1.00,P=0.057)。这意味着内分泌治疗8年的潜在绝对生存率估计值可提高2%(95%CI=0-3.5%),即从85%提高至87%。
 
各试验的OS结果一致,随机效应模型的结果也相似(HR=0.86,95%CI=0.74-1.00,P=0.054)。没有明确的证据表明短期内分泌治疗(3364名患者,419例死亡;HR=0.90,95%CI=0.74-1.09,P=0.3)与长期内分泌治疗(1088名患者,282例死亡;HR=0.83,95%CI=0.67-1.04,P=0.1;组间差异检验P=0.6)对OS的影响存在差异。
 
探索性敏感性分析排除了RTOG 9601和RADICALS-HD试验中放疗前PSA水平>2 ng/ml的患者,结果显示OS的HR为0.90(95%CI=0.76-1.05,P=0.18)。这意味着8年OS的估计绝对改善为1.5%(95%CI=-0.5%-3.5%),从85%增至86.5%。
 
 
无转移生存
 
基于4411名患者和986个已知事件(GETUG-AFU-22试验的事件数量未知),MFS的HR为0.78(95%CI=0.69-0.88,P<0.001)。这意味着8年MFS的估计绝对改善为4%(95%CI=2%-6%),从80%增至84%。各试验结果一致(异质性P=0.6),随机效应模型的结果也相似(HR=0.78,95%CI=0.68-0.89,P=0.005)。没有明确的证据表明短期内分泌治疗(3489名患者,653起事件;HR=0.80,95%CI=0.68–0.93,P=0.004)和长期内分泌治疗(1088名患者,365起事件;HR=0.76,95%CI=0.61–0.93,P=0.009;组间差异检验P=0.7)之间的疗效存在差异。
 
探索性敏感性分析显示,从RTOG 9601和RADICALS-HD中排除了放疗前PSA水平>2 ng/ml的患者,结果表明MFS的HR为0.81(95%CI=0.71–0.92,P<0.002)。这意味着8年时MFS的估计绝对改善为3.5%(95%CI=1.5%-5.5%),从80%增至83.5%。
 
前列腺癌特异性生存
 
基于4286名患者和247例事件(占所有死亡病例的三分之一),前列腺癌特异性生存(PCSS)的HR为0.61(95%CI=0.47-0.79,P<0.001)。这意味着8年时PCSS的估计绝对改善为4%(95%CI=2%-5%),从90%增至94%。各试验结果大致一致(异质性P=0.5),随机效应模型的结果也相似(HR=0.61,95%CI=0.43–0.87,P=0.02)。短期内分泌治疗(3364名患者,143起事件;HR=0.68,95%CI=0.48–0.96,P=0.03)和长期内分泌治疗(1088名患者,109起事件;HR=0.54,95%CI=0.36–0.80,P=0.002;组间差异检验P=0.4)之间的疗效差异尚无明确证据。
 
探索性敏感性分析排除了RTOG 9601和RADICALS-HD研究中放疗前PSA水平>2 ng/ml的患者,结果显示PCSS的HR为0.67(95%CI=0.51-0.88,P=0.004)。这意味着8年后PCSS的估计绝对改善率为3%(95%CI=1%-5%),从90%上升至93%。
 
敏感性分析
 
对于所有结果指标,包括来自RTOG 0534第三个对照组,排除RADICALS-HD中接受过辅助放疗的患者,以及排除NRG/RTOG 9601治疗前PSA水平>1.5 ng/ml的患者或NRG/RTOG 9601和RADICALS HD治疗前PSA水平>2 ng/ml的患者,获得的结果与主要分析结果大致相似。
 
患者特征对内分泌治疗的影响
 
没有证据表明内分泌治疗对MFS或OS的影响因术前PSA、Gleason评分或手术切缘而异。精囊受累与MFS相互作用P值为0.08),其中“未受累”的HR为0.85,“受累”的HR为0.65。假设精囊未受累患者的基线MFS率为82%,精囊受累患者的基线MFS率为70%,则8年后的绝对差异分别为3.5%和6%。在排除PSA>2.0 ng/ml患者的敏感性分析中,相互作用的P值为0.5。
 
对于OS,不同放疗前PSA类别的趋势效应P值为0.07,其中“≤0.3 ng/ml”的HR为0.97,“>1.5 ng/ml”的HR为0.58。假设放疗前PSA最低者的基线OS率为89%,最高者的基线OS率为66%,则绝对差异分别为1.5%和4%。CAPRA-S风险组的趋势效应P值为0.09,“低危”人群的HR为1.10,“高危”人群的HR为0.68。假设低危人群的基线OS率为87%,高危人群的HR为80%,则绝对差异分别为1.5%和2.5%。当PSA>2.0 ng/ml的患者被排除在敏感性分析之外时,放疗前PSA各分类趋势的P值为0.3,与CAPRA-S风险组相互作用的P值为0.2。
 
内分泌治疗持续时间的META分析
 
RADICALS-HD试验对长期与短期内分泌治疗进行了比较,这为网络荟萃分析提供了额外的1523名患者,其中OS、MFS和PCSS分别增加了211、313和65个额外事件。长期内分泌治疗与短期内分泌治疗的疗效网络估计HR分别为:OS(95%CI=0.72–1.11,P=0.3)、MFS(95%CI=0.70–1.01,P=0.06)和PCSS(95%CI=0.48–1.03,P=0.07)。这意味着,长期内分泌治疗8年后OS、MFS和PCSS的估计绝对改善为1.5%–3%。排除放疗前PSA水平>2 ng/ml的患者进行的探索性分析也得到了类似结果。
 
 
结论
 
术后放疗联合短期或长期内分泌治疗可改善MFS和PCSS,但OS的改善不太可能具有临床意义,且可能仅限于高危人群。因此,在这种情况下,内分泌治疗(尤其是长期内分泌治疗)应平衡疗效与副作用和生活质量。
 
▌参考文献:
 
Burdett S,Fisher D J,Tierney J F,et al.Duration of Androgen Suppression with Postoperative Radiotherapy(DADSPORT)for Nonmetastatic Prostate Cancer:A Collaborative Systematic Review and Meta-analysis of Aggregate Data[J].European Urology,2025.

 

本内容仅供医学专业人士参考


前列腺癌

分享到: 更多