当前位置:肿瘤瞭望>资讯>正文

吸烟百害而无一利?研究发现,吸烟可以......

作者:肿瘤瞭望   日期:2021/7/9 11:33:39  浏览量:12542

肿瘤瞭望版权所有,谢绝任何形式转载,侵犯版权者必予法律追究。

前言:烟草是导致肺部疾病的重要原因,尤其与COPD、肺癌等疾病关系密切,因此,吸烟对于健康存在极大的威胁。但是,近期发表于JNCI的一项研究显示,吸烟竟然可以预测免疫治疗的疗效。

研究背景:免疫检查点抑制剂的加入改变了驱动基因阴性晚期非小细胞肺癌的治疗格局,尽管获益明显,但仅有一小部分患者可以从免疫治疗中获得持续响应。PD-L1是应用最为广泛的且被FDA批准的标志物,来辅助选择治疗人群,但其获益主要集中在PD-L1≥50%的患者。对于PD-L1表达阴性或PD-L1<50%的患者,患者最佳治疗仍然不明确。除此以外,肿瘤突变负荷(TMB)也是一个潜在的标志物,用来预测免疫治疗疗效,较高的TMB与更好的获益有关。但TMB的评估受限于组织标本缺乏、检测时间较长、检测费用较贵且不同的检测平台之间截断值并不统一等因素,从而限制了其广泛应用。因此发现新的、易获得的标志物指导临床诊疗十分必要。既往研究发现,吸烟史和较高的TMB有关,尽管这一指标并不完美,但是易于获得,且可以作为TMB的替代标志物。因此,我们假设对吸烟史的定量,可预测免疫检查点抑制剂疗效。

研究方法:该研究纳入了2013年4月至2020年9月就诊于丹娜法伯癌症中心及布里格姆妇女医院接受免疫检查点抑制剂单药治疗的晚期非小细胞肺癌患者,收集患者年龄、性别、吸烟史、治疗史、PS评分等临床病理学特点。吸烟史包括从不吸烟(吸烟量<100支)、既往吸烟(戒烟>12 月)以及当前吸烟(戒烟<12 月)。PD-L1检测平台包括22C3、SP263、E1L3N等。


研究结果:共计644例患者纳入本研究,其中不吸烟、既往吸烟和当前吸烟者占比分别为16.3%、58.2%和25.4%。三组之间性别、组织病理及PS评分等状况均衡可比,既往吸烟和当前吸烟者中,PD-L1≥50%的患者更常见,P=0.07。82.9%的吸烟患者二线及以后接受免疫检查点抑制剂治疗,而既往吸烟和当前吸烟患者中,分别有37.1%和36.0%的患者一线接受免疫检查点抑制剂的治疗。此外,不吸烟患者EGFR (37.1%)、ALK (1.9%)、HER2 (5.7%)及MET (5.7%)的比例相对更高,而这四个基因在既往吸烟患者中的比例分别为5.9%、0.5%、1.6%、2.9%,在当前吸烟患者中的比例为2.4%、0.6%、0.6%、0.6%(图1)。


图1 三组患者基线特点


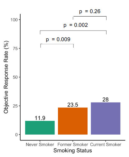
ORR:从不吸烟、既往吸烟、当前吸烟患者的ORR分别为11.4%、23.5%和28.0% (既往vs.从不,P=0.009;当前vs.从不,P=0.002;既往vs.当前,P=0.26),在多因素分析中,控制了PD-L1表达水平及其他临床病理特点后,吸烟患者与较好的ORR有关(既往vs.从不,OR=2.07,P=0.04;当前vs.同步,OR=3.04,P=0.003;当前vs.既往OR=1.34,P=0.20)(图2)。

图2 三组患者的ORR


PFS:从不吸烟者相较于既往吸烟者PFS更短(2.07 m vs. 3.65 m,P=0.01),与当前吸烟者相比,PFS同样更短(2.07 m vs 3.68 m,P<0.001)。OS:从不吸烟者相较既往吸烟者OS更短(9.9 m vs.12.9 m,P=0.23),与当前吸烟者相比,OS同样更短(9.9 m vs. 13.2 m,P=0.10)(图3)。


图3 两组患者的PFS及OS

?

研究结论:患者吸烟史可预测晚期非小细胞肺癌患者接受免疫检查点抑制剂单药治疗的疗效,且这一预测效果独立于PD-L1表达水平。当TMB数据不可获得时,可作为替代指标。


研究思考


在这项研究中,作者展示的结果显示,吸烟的患者接受免疫治疗后,获益较不吸烟的患者更为明显,但是,用吸烟作为TMB的替代指标并预测免疫治疗的疗效是否可靠呢?细看文章,存在有几个问题。


首先,PD-L1组间分布不均衡。在临床上,PD-L1表达水平是应用最为广泛的指标,接受免疫单药治疗时,高表达的患者获益更加明显,这一点几乎不存在争议。但是,本研究中,不吸烟患者PD-L1高表达的比例为28.6%,与既往吸烟和当前吸烟患者的36.5%和34.1%相比,存在一定的差距;而在这部分患者中,PD-L1阴性患者的比例更高。


其次,驱动基因分布同样不均衡。不吸烟的患者往往突变比例更高,这也是为什么本研究中,从不吸烟、既往吸烟和当前吸烟患者驱动基因突变的比例分别为50.4%、10.9%和4.2%,且随着吸烟程度的加重,驱动基因突变的比例逐渐降低。而携带驱动突变的患者,接受免疫治疗效果更差。


第三,治疗线数不均衡。在不吸烟患者中,仅有17.1%的患者一线接受免疫治疗,而在既往吸烟及当前吸烟的患者中,这一比例分别为37.1%和36%。在肿瘤治疗过程中,往往越到后线,患者治疗难度越大,因为肿瘤细胞已经成为多线耐药细胞,因此,对于免疫治疗响应较差也在情理之中。


因此,虽然本文认为吸烟预测了免疫治疗的效果,但是,众多混杂变量的存在及分布的不均衡削弱了结论的可靠性。况且吸烟预测免疫治疗的疗效,前提是得了肺癌且有机会接受治疗,为什么不尽早戒烟,降低肺癌的风险呢?所以,尽快戒烟吧。

本内容仅供医学专业人士参考


肺癌

分享到: 更多