AUA2018|LncRNA ENSG00000241684 在进展性肾透明细胞癌患者的作用

作者:肿瘤瞭望   日期:2018/5/24 13:03:42  浏览量:27134

肿瘤瞭望版权所有,谢绝任何形式转载,侵犯版权者必予法律追究。

2018年第113届美国泌尿外科年会(AUA)于当地时间5月18-21日在美国旧金山市举行。叶定伟教授团队对“LncRNA ENSG00000241684 在进展性肾透明细胞癌患者的作用”入选Moderated Poster展示(Moderated Poster - MP88),并与在座评委和专家探讨互动,场面热烈。《肿瘤瞭望》持续关注泌尿生殖系肿瘤动态,一起传递中国之声。

肾细胞癌(renal cell carcinoma,RCC)是泌尿系统常见恶性肿瘤,约占所有成人恶性肿瘤2~3%,近几十年肾癌发病率和死亡率保持着稳定增长。部分患者初诊时即为进展性肾癌,除此之外,20%~40%的患者在随访过程中出现复发进展。进展性肾癌对放化疗均不敏感,目前治疗手段十分有限,5年生存率仅为10~20%。目前,除病理诊断外,有效区别进展性以及局限性肾癌的手段仍有限。
 
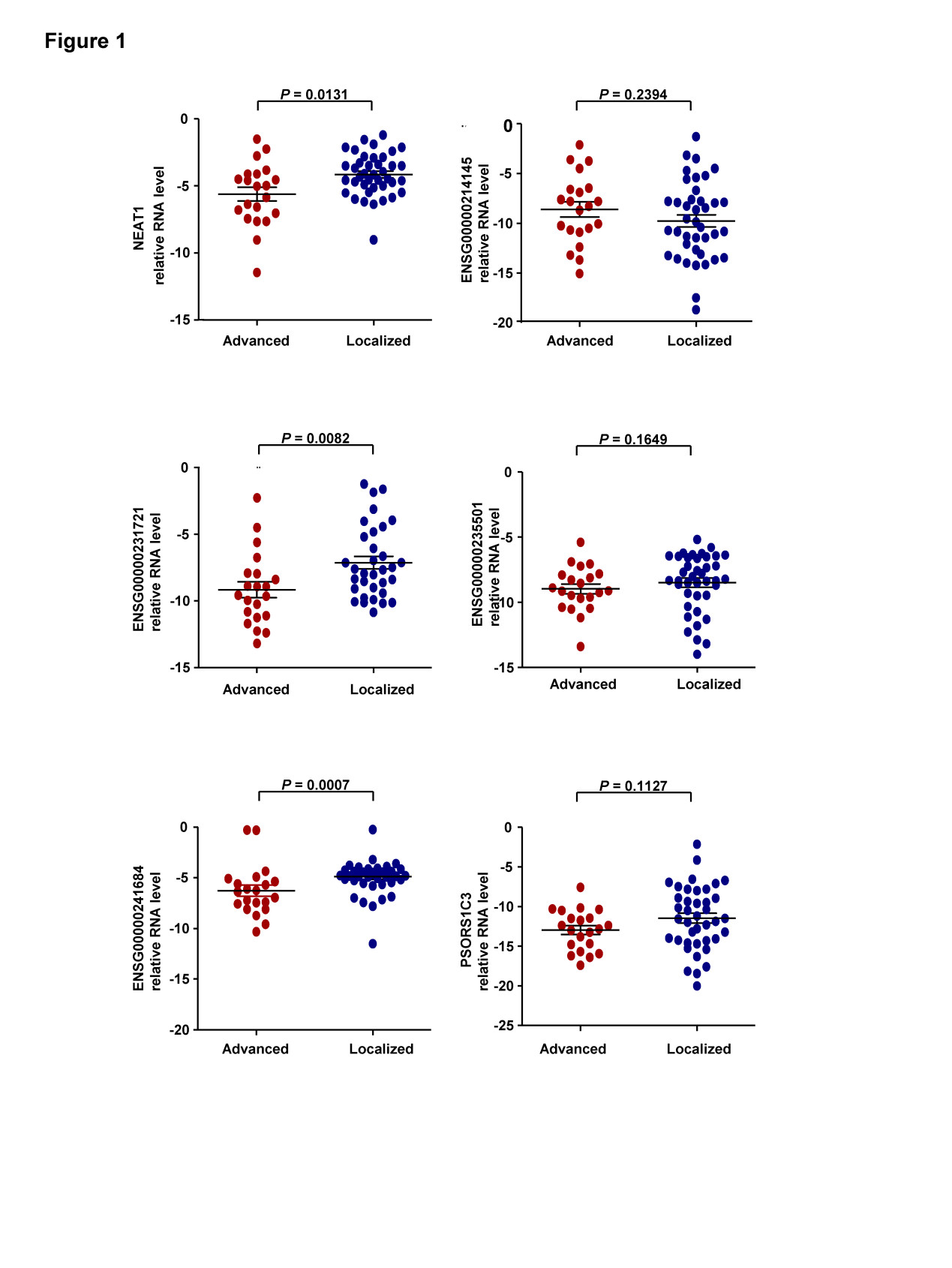
为进一步发现进展性肾透明细胞癌潜在的分子标记物及其作用机制,我们回顾性分析了进展性肾癌GEO LncRNA 数据库GSE47352中差异表达的LncRNA数据,从中选取表达差异最为明显的LncRNA,在本中心61例样本通过PCR进行验证,包括21例进展性透明细胞癌以及40例局限性透明细胞癌标本。对这些LncRNA的表达量同肾透明细胞癌患者的临床病理特点之间的相关性予以分析。同时探究改变LncRNA表达能否改变肾透明细胞癌细胞株786-0以及ACHN细胞的侵袭以及增殖能力。
 
通过分析GSE47352 LncRNA数据,从中选取表达差异最为明显8个的LncRNA。对这些LncRNA的表达在21例进展性肾透明细胞癌以及40例局限性透明细胞癌组织中进行验证。PCR结果显示3个LncRNA( ENSG00000241684, ENSG00000231721 and NEAT1)在进展性肾透明细胞癌中明显低表达,KM分析提示低表达的LncRNA ENSG00000241684以及NEAT1同患者预后存在相关性。单因素以及多因素分析Cox分析显示LncRNA ENSG00000241684对于患者的预后起到预测效果,LncRNA ENSG00000241684表达同患者pTNM分期负相关。在786-O 以及ACHN细胞过表达LncRNA ENSG0000024168后,细胞增殖以及细胞侵袭能力受到明显抑制。
 
 
结论:在肾癌的发生发展中,LncRNA起着重要的作用。ENSG00000241684在进展性肾癌患者明显低表达,是进展性肾癌患者预后的独立预测因子。
 
专家简介
 
 
宿恒川
 
医学博士,复旦大学附属肿瘤医院泌尿外科主治医师,致力于泌尿系统肿瘤的临床诊治与基础研究工作。在国内外期刊以第一作者发表科学论文17篇,其中SCI8篇。作为课题负责人承担国家自然科学基金一项,入选2017年上海市青年医师培养计划。多次参加国内外大型学术会议,并做口头发言,曾获得上海市医学会泌尿外科分会优秀论文二等奖,上海市医师协会泌尿外科分会优秀论文。

本内容仅供医学专业人士参考


泌尿宿恒川

分享到: 更多

相关幻灯